• 凯发k8国际

    SIAT新闻网

    Metab. Eng.|系统改造酿酒酵母细胞壁生物合成途径增强重组酶的胞外分泌和表面展示

    来源:合成所发布时间:2023-05-04

      424日,中国科研实验室深圳先进技术研究院合成生物学研究所Jay Keasling团队汤红婷副研究员与罗小舟研究员团队合作在Metabolic Engineering上发表了题为《Systematic genetic modifications of cell wall biosynthesis enhanced the secretion and surface-display of polysaccharide degrading enzymes in Saccharomyces cerevisiae》的研究成果。在该工作中,研究人员基于合成生物学策略,系统性地探究酿酒酵母细胞壁生物合成途径中关键基因对分泌和表面展示BGL1酶活性的影响,筛选能够提高重组酶活性的新基因改造靶点,进而组合改造新基因靶点,进一步提高了重组酶的活性。同时,该研究顺利获得蛋白质组学和逆向工程分析发现,参与蛋白翻译和分泌途径的关键基因上调表达对提高重组酶分泌和表面展示活性具有重要作用。这项研究为构建酵母细胞工厂高效分泌和展示重组蛋白给予了新思路。本文的第一作者为研究助理陈南柱、硕士学生杨硕和研究助理尤大伟,汤红婷副研究员和罗小舟研究员为论文通讯作者。 

     

    文章上线截图 

    文章链接:http://doi.org/10.1016/j.ymben.2023.04.011 

      利用农业废弃物等廉价碳源生产生物能源、天然产物、大宗化学品等具有附加价值的化学物质是有助于实现“碳中和”的工业生产策略。纤维素、淀粉等多糖是重要成分,但由于生物利用过程的效率限制,往往导致其不能被充分利用。酿酒酵母作为传统的模式真核生物,常用于分泌表达或表面展示具有不同功能的蛋白,其中其胞外表达纤维素酶、淀粉酶等多糖水解酶,可以将这些廉价碳源顺利获得生物统合加工过程(Consolidated Bioprocess, CBP)转化为高附加值产品。改造酿酒酵母分泌途径(secretory pathway)提高重组蛋白胞外产量是众所周知的方案之一。而细胞壁生物合成过程紧密地调控蛋白分泌途径,然而,它对重组蛋白胞外表达活性的影响却较少被报道。 

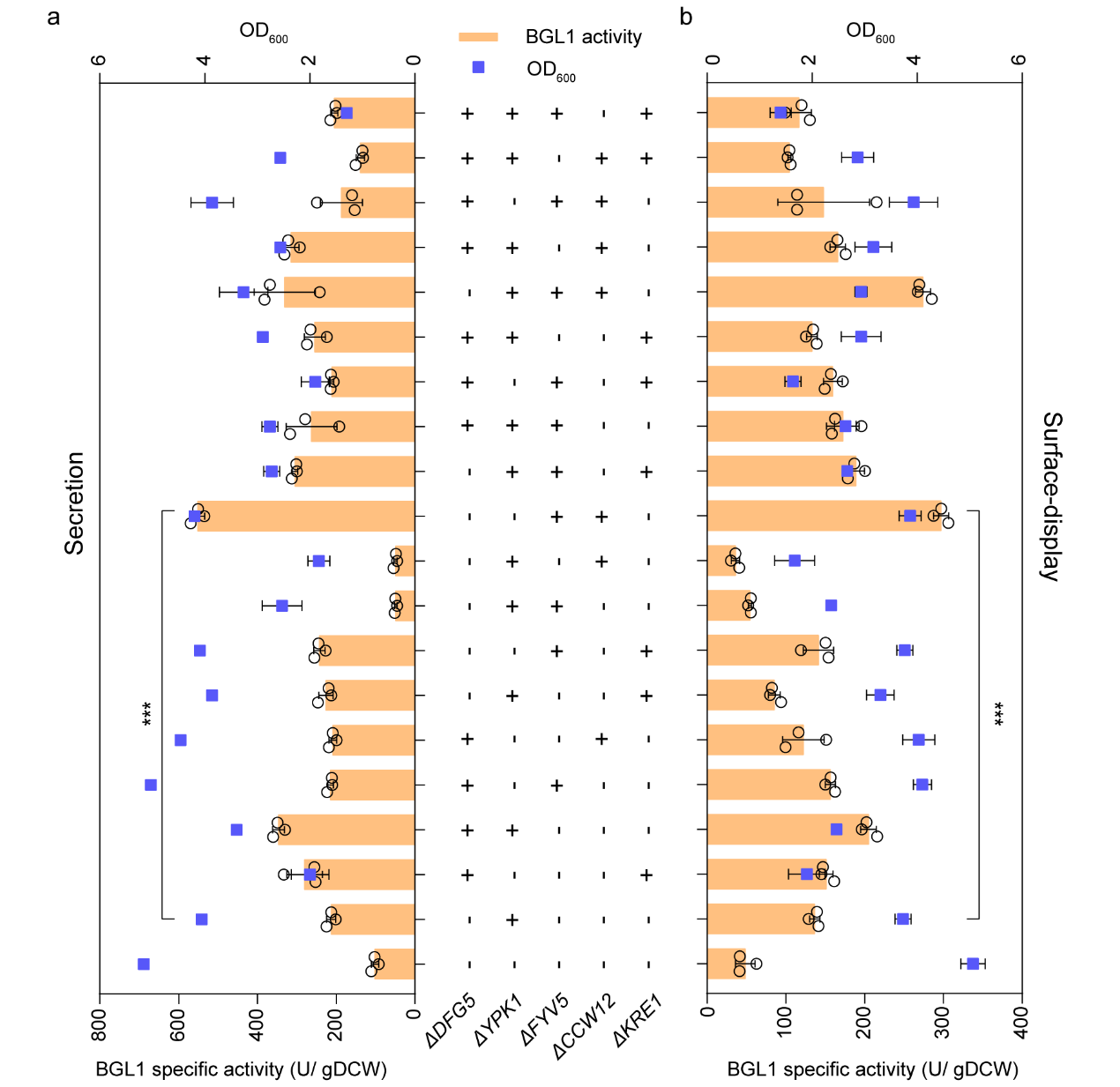
      在本研究中,作者第一时间选取来自Saccharomycopsis fibuligeraβ葡萄糖苷酶(β-glucosidase, BGL1)作为报告蛋白,以其分泌(secretion, sBGL1)和表面展示表达的活性(surface-display, dBGL1)作为指标,系统性地评估了79个参与细胞壁合成基因的敲除对sBGL1和dBGL1活性的影响。经过96深孔板培养筛选以及摇瓶发酵二次验证后发现,DFG5、YPK1、FYV5以及CCW12KRE1基因的失活,能够显著提高sBGL1或dBGL1的活性(>40%)(图1)。 

     

    1. 细胞壁生物合成基因失活对BGL1活性的影响。 

        

      随后,为了进一步探究上述基因的改造是否存在组合效应,该研究对上述基因靶点进行组合敲除,包括双敲除,三敲除和四敲除。顺利获得分析其对分泌和表面展示BGL1活性的影响发现,FYV5CCW12双敲除菌株表现出最优的BGL1胞外表达能力,其sBGL1和dBGL1活性相较野生型菌株分别提升了4.41和5.14倍(图2)。 

    2. 细胞壁生物合成的组合改造进一步提高sBGL1(a)和dBGL1(b)的活性 

        

      一般,富营养培养基YP对蛋白胞外表达具有促进作用,因此,该研究也测试了FYV5CCW12双敲除菌株在YP条件下重组酶胞外表达活性的变化。结果显示,在YP中sBGL1和dBGL1活性分别提升了31.68%和46.55%。 

    3. 富培养基YP使ΔFYV5ΔCCW12菌株分泌和表面显示BGL1活性进一步增强。 

        

      为了验证改造细胞壁合成途径具有普适性,该研究测试了FYV5CCW12双敲除对不同锚定蛋白(Sed1p, Dan4p, Aga1p)和不同重组酶的影响。研究结果显示,FYV5CCW12双敲除能提高使用不同锚定蛋白的BGL1活性,也能促进使用同一锚定蛋白的不同重组酶的活性(图4),包括纤维二糖水解酶(cellobiohydrolase, CBH1)和淀粉酶(Amylase)。 

    4. 细胞壁生物合成改造后的菌株提升不同重组酶的活性 

      为了探究FYV5CCW12双敲除菌株提升重组酶胞外表达的潜在机制,该研究对改造菌株和野生型菌株进行了蛋白质组学测试,发现FYV5CCW12双敲除能引发系列蛋白的上调表达,除了分泌途径关键节点—内质网蛋白加工过程(protein processing in the ER),蛋白翻译(protein processing in the ER and protein translation)过程也是主要的被调控模块之一(图5)。顺利获得逆向代谢工程研究发现,过表达12个蛋白翻译过程的蛋白,能提高BGL1胞外活性,其中,过表达RPL8B、DBP1、TIF3、ETT1SUI3能将BGL1活性分别提高6.8、2.7、1.7、1.2和1.1倍(图5c)。 

    5. 顺利获得蛋白质组学分析和逆向代谢工程揭示改造细胞壁生物合成途径提高重组酶活性的机制。 

      综上所述,研究人员系统地探究酿酒酵母细胞壁生物合成途径对重组蛋白胞外表达的影响,发现数个新的靶点的改造能显著提高重组酶胞外酶活,包括DFG5、YPK1、FYV5、CCW12KRE1。顺利获得特定基因的组合改造和培养基的优化,使酿酒酵母胞外表达重组酶分泌和展示活性得到了大幅度的增强,分别提高了6.13倍和7.99倍。最后,顺利获得蛋白质组学分析偶联逆向工程策略,揭示蛋白翻译过程是改造菌株高效表达重组酶的重要调控之一。这项研究为高效构建酵母细胞工厂给予了新思路。 

      

      致谢 

      这项工作得到了国家自然科学基金(31901030)、广东省基础与应用基础研究基金(2021A1515010842)及深圳合成生物学创新研究院的支持。同时,研究人员对深圳先进技术研究院合成基因组学中心戴俊彪客座研究员给予的酵母敲除菌株库致以诚挚的感谢。 


    附件下载:

    TOP